Guías Técnicas sobre
Saneamiento, Agua y Salud
(OMS/OPS)


3 - Limpieza de los tanques de almacenamiento de agua

Introducción

Con frecuencia se requiere proveer un suministro básico de agua durante una emergencia y muy poco después de ella. Esto puede suceder porque el suministro normal se ha dañado o destruido, o porque las personas se reúnen en un lugar en donde no existe el suministro de agua (por ejemplo, en un nuevo campo de refugiados).

Generalmente, la forma más rápida de proveer el suministro de agua es transportarla en camiones cisterna desde una fuente cercana y almacenar el agua en tanques o represas. No obstante, es inusual que los camiones cisterna y los depósitos de agua se puedan conseguir fácilmente en estas situaciones. La solución más común es contratar vehículos y tanques que se hayan usado para otros propósitos, los cuales se deben limpiar y desinfectar antes de poder usarlos.

Pasos para la rehabilitación

En la figura 1 se esquematiza un abordaje de tres pasos para la limpieza y la desinfección de los tanques de agua y de los camiones cisterna; es una respuesta de emergencia para desinfectar los camiones contaminados o en desuso, para que puedan almacenar y transportar agua de buena calidad.

Figura 1. Pasos para la limpieza y desinfección de un camión cisterna de agua

Se van a requerir grandes cantidades de agua limpia para limpiar y tratar los tanques de almacenamiento y los camiones cisterna, antes de que se puedan usar para guardar agua.

Paso 1. Limpieza del tanque

El tanque se debe limpiar para garantizar que el agua almacenada en él no se contamine con suciedad o restos de la sustancia que el tanque contenía anteriormente. Esto se puede lograr al seguir los siguientes tres pasos.

1. Drenar o vaciar el tanque. Abra la válvula o llave de salida y drene todo el líquido restante. Recoja los líquidos eliminados para que se puedan desechar con seguridad. La mayoría de los camiones cisterna tienen la válvula de salida en la parte de atrás, razón por la cual se deben estacionar en una pendiente para que todos los líquidos se puedan descargar fácilmente (figura 2).

Figura 2. Drenaje de los tanques

Los tanques de almacenamiento permanente usualmente están equipados con una válvula de limpieza interna que permite extraer el agua de la base. Es mejor usar esta última, en vez de la válvula normal de salida. El proceso de vaciado de los líquidos restantes de los tanques portátiles depende de la forma y el diseño del tanque. Algunos se pueden ladear y otros se pueden desbaratar.

2. Limpiar y restregar todas las superficies internas. Utilice una mezcla de detergente y agua (el jabón en polvo casero sirve) para limpiar todas las superficies internas del tanque. Esto se puede hacer con un cepillo firme o con un chorro de agua a alta presión. Si el tanque contenía sustancias volátiles, como el aceite, o líquidos orgánicos, como la leche, no intente ingresar al tanque pues los gases despedidos por los líquidos pueden ser peligrosos. La colocación del cepillo en la punta de un palo largo posibilita la limpieza del tanque sin tener que entrar en él. Tenga especial cuidado en la limpieza de las esquinas y de las uniones para que no quede ni la más mínima cantidad del líquido original. Hasta los residuos más mínimos de algunos líquidos le pueden dar mal sabor al agua y las personas se rehusarán a consumirla.

Deje abierta la válvula de salida mientras se limpia el tanque y recoja los desperdicios líquidos, para desecharlos en forma segura.

3. Limpie todas las superficies internas para eliminar todos los restos de detergente. Esto se hace más fácilmente con una manguera o con un chorro de agua a alta presión, pero si no se cuenta con ello, se puede llenar el tanque con agua y dejarlo reposar por unas cuantas horas. Drene el agua del tanque y recójala para desecharla en forma segura, como se hizo anteriormente. Continúe vaciando el tanque hasta que no haya vestigios de detergente en el agua.

La limpieza del tanque del camión cisterna se debe hacer en un área al aire libre lejos de las casas, para evitar posibles problemas de salud.

Paso 2. Desinfección del tanque

  • Para desinfectar el tanque de forma eficiente, llénelo con agua limpia solamente hasta la cuarta parte de su capacidad. Es importante no llenar mucho el tanque, pues se disminuye la concentración de la solución de cloro y se limita la eficacia de la limpieza. Para calcular la cuarta parte del tanque, se usa un palo con marcas graduadas que indiquen el nivel del agua. Los marcas se deben hacer en el palo en intervalos de 10 cm, empezando en 0 cm en la base del tanque y, luego, hacia arriba a 10 cm, 20 cm, etc. (figura 4).
  • Prepare una solución concentrada de cloro para desinfectar el tanque. La mejor fuente de cloro es el HTH (high test hypochlorite) granulado o en polvo, pues contiene de 50% a 70% de cloro. En la caja 1 se resumen los métodos para calcular la dosis apropiada de cloro para desinfectar un tanque con HTH granulado.
  • Vierta la solución lentamente dentro del tanque, revolviendo mientras se hace, y, luego, llene el tanque a su capacidad máxima con agua limpia.
  • Deje reposar el cloro en el tanque por 24 horas para asegurarse de su completa desinfección. Si el tanque tiene tapa (lo que se recomienda), ésta debe colocarse.
  • Si el tanque se necesita para uso urgente, duplique la cantidad de cloro en el tanque. Esto reduce el tiempo de reposo de 24 a 8 horas.
  • Vacíe completamente el tanque y deseche cuidadosamente el agua desinfectante, pues contiene una alta concentración de cloro.
  • Recuerde que debe limpiar y desinfectar también los tubos o las mangueras conectados al tanque. Se debe usar el mismo procedimiento previamente descrito.

Caja 1. Desinfección con cloro de un tanque

  • Calcule el volumen total del tanque.
  • Llene un balde de 20 litros con agua limpia.
  • Añada 50 g de cloro HTH al agua y revuelva hasta que se disuelva.
  • Añada 10 litros (medio balde) de solución de cloro al agua del tanque por cada metro cúbico (m3) del volumen del tanque.
  • Recuerde que 1m3 = 1.000 L.

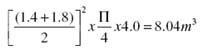
Ejemplo:
Se requiere desinfectar el tanque de un camión cisterna. El tanque mide 4 m de largo por 1,8 m de ancho y 1,4 m de alto (el tanque tiene forma de óvalo).

El volumen total del tanque es:

Entonces, añada un poco más de 4 baldes de 20 litros de solución de cloro al llenar el tanque de agua limpia.

Paso 3. Evaluación del cloro

  • Llene nuevamente el tanque con agua limpia y déjela reposar por 30 minutos. El cloro residual del tanque se determina mediante un kit de comparación.
  • Si la concentración de cloro residual es de 0,5 mg/L o menos, el tanque es seguro para el almacenamiento de agua. Si la concentración es mayor de 0,5 mg/L, vacíe nuevamente el tanque y llénelo con agua limpia. Determine nuevamente que la concentración de cloro sea de 0,5 mg/L o menos.
Figura 3. Un kit de comparación de cloro

Forma de desechar los residuos líquidos

Se debe tener especial cuidado cuando se desechan los líquidos de los contenedores. Una descarga súbita de agua puede causar erosión localizada o inundaciones.

Asegúrese de que el agua se canalice hacia una corriente de agua natural, como un río, una quebrada o un lago.

Si el camión cisterna se ha utilizado para transportar otros líquidos, se deben hacer arreglos especiales para prevenir la contaminación del ambiente.

Una opción para el desecho seguro es recoger los residuos líquidos en un estanque temporal y, luego, mezclar el líquido con arena. La mezcla se puede transportar a un lugar adecuado (como un relleno sanitario) para ser desechada.

Si hay grandes cantidades de residuos líquidos, la absorción con arena no es posible. En ese caso, se requiere un camión cisterna con tanque de vacío (como los que se usan para desocupar tanques sépticos) para sacar el líquido y para desecharlo de manera segura.

Cuestiones de salud y seguridad

El obtener acceso y trabajar dentro de un camión cisterna de agua puede ser difícil y peligroso. Con frecuencia sólo existe una pequeña escotilla de acceso en la parte superior del tanque por la que se entra y se sale. Los que van a hacer la limpieza deben saber que algunos líquidos transportados en los tanques pueden despedir gases peligrosos que pueden permanecer en él aunque se haya extraído el líquido. Los líquidos también pueden causar daños físicos, como caídas en superficies resbalosas o quemaduras por líquidos corrosivos.


Siempre se debe introducir aire fresco en el tanque durante algún tiempo, antes de permitirle a alguien entrar al tanque cisterna. La persona que lo va a limpiar debe usar traje de protección, que incluye guantes, botas, casco y gafas.

Asegúrese de que alguien permanezca afuera, cerca de la escotilla de entrada, durante todo el tiempo que se trabaje dentro del tanque, en caso de que se produzca un accidente. La disponibilidad de máscaras para gases y ventiladores portátiles es una ventaja.

Mayor Información

Davis, J. y Lambert, R. (2002) Engineering and Emergencies--A Practical Guide to Fieldworkers, 2nd Edition, ITDG Publishing, UK.

Regrese al índice